Предмет: Алгебра,
автор: asdasdasdqwezxc
Решите пожалуйста,очень надо
Приложения:
Ответы
Автор ответа:
1
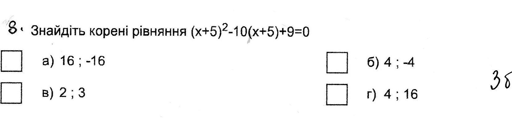
Ответ:
х₁,₂=±4
Объяснение:
(х+5)²-10(х+5)+9=0
х²+10х+25-10х-50+9=0
х²-16=0
х²=16
х₁,₂=±√16
х₁,₂=±4 ответ б)
Похожие вопросы
Предмет: Русский язык,
автор: прапвап
Предмет: Английский язык,
автор: Sulimov01
Предмет: Русский язык,
автор: Irina174
Предмет: Математика,
автор: Костя0441
Предмет: Математика,
автор: соня1717151515555557