Предмет: Химия,
автор: bedilosasha056
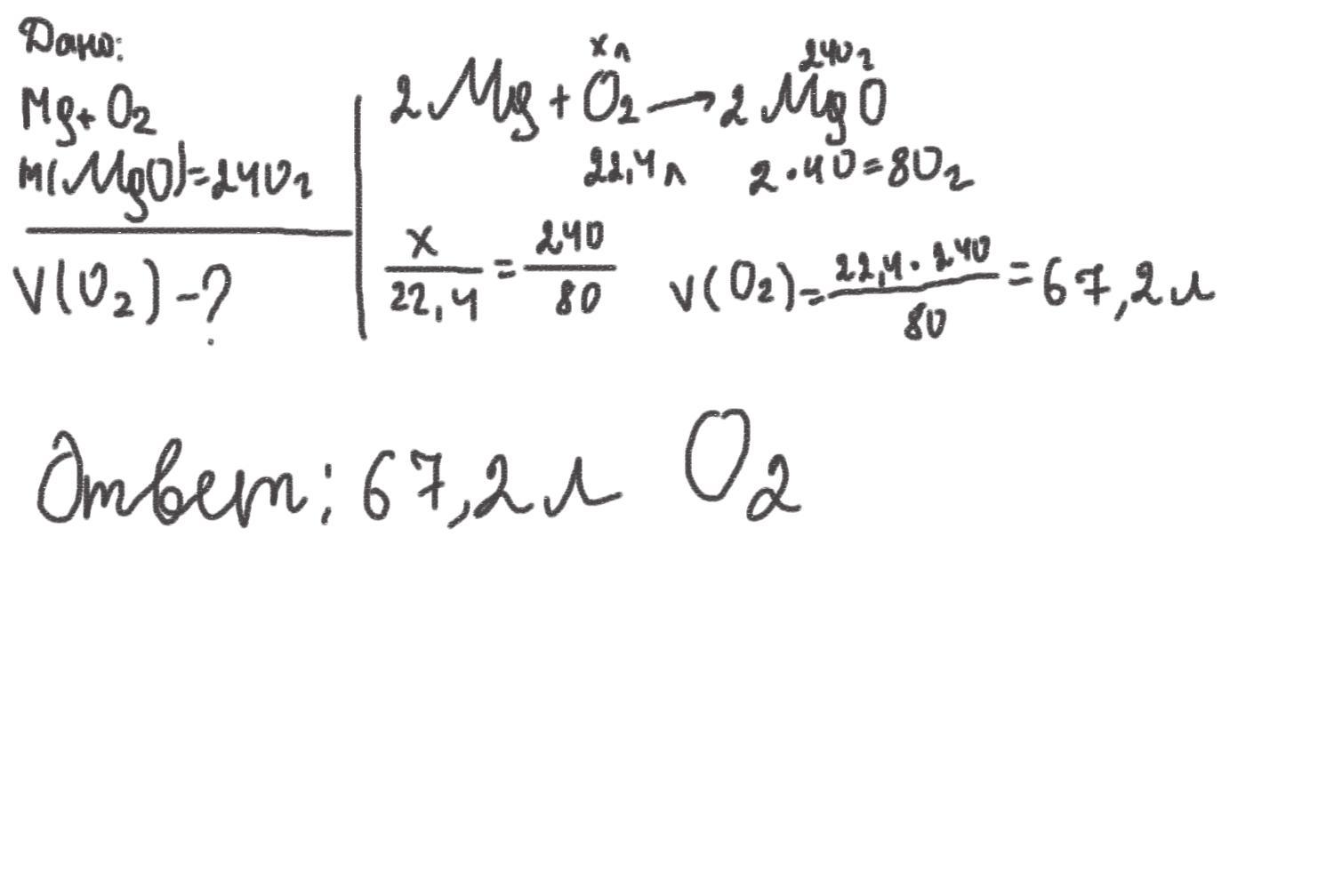
Вычеслете объем кислорода (н.у.)необходимо для получения магния оксида массой 240г с магнием
Ответы
Автор ответа:
0
Відповідь:
67,2л
Пояснення:
2Mg+O2=2MgO
V=22,4*240/2*40= 67,2л
Автор ответа:
1
Ответ: 67,2 л О2
Решение во вложении
Приложения:
Похожие вопросы
Предмет: Русский язык,
автор: 3330803667
Предмет: Английский язык,
автор: Аноним
Предмет: Другие предметы,
автор: 856привет
Предмет: Литература,
автор: МаксимТатар
Предмет: Алгебра,
автор: nikkhamatov