Предмет: Алгебра,
автор: DOOOSHIIIIK1234
Помогите помогите помогите помогите помогите помогите помогите помогите помогите помогите помогите помогите
Приложения:
Ответы
Автор ответа:
1
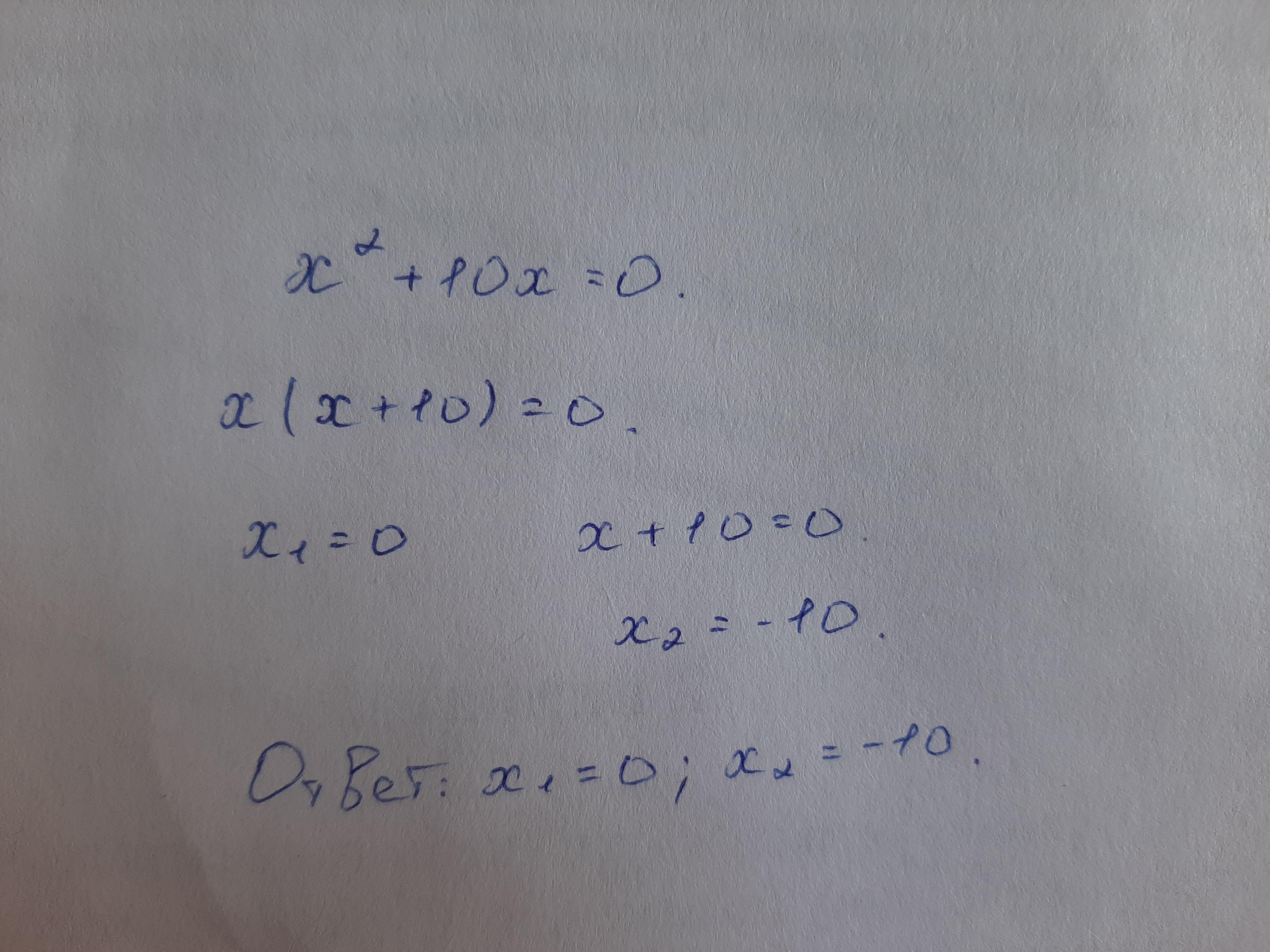
Ответ:
решение смотри на фотографии
Объяснение:
Приложения:
Автор ответа:
1
Ответ: Х1 = 0, Х2 = -10
Объяснение:
Приложения:
Похожие вопросы
Предмет: Русский язык,
автор: Bandi1
Предмет: Английский язык,
автор: Максим76
Предмет: Русский язык,
автор: маруся333123
Предмет: Математика,
автор: Гость62538