Предмет: Химия,
автор: Lishinka
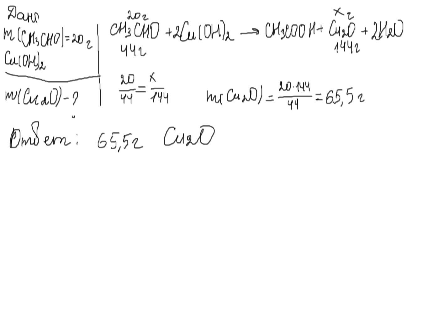
Сколько грамм оксида меди (I) получится при взаимодействии 20 грамм
уксусного альдегида с избытком гидроксида меди (II)?
Ответы
Автор ответа:
1
Ответ: 65,5 г Cu2O....
Приложения:
Похожие вопросы
Предмет: Другие предметы,
автор: lychik1979
Предмет: Русский язык,
автор: ht009
Предмет: Русский язык,
автор: AlisaCooper
Предмет: Биология,
автор: kkonstantinova0