Предмет: Математика, автор: ggdfhxyc


Выполнить работу во вложенном файле

Приложения:

Ответы

Автор ответа: Мудrost
1

Ответ:

-2

Пошаговое объяснение:

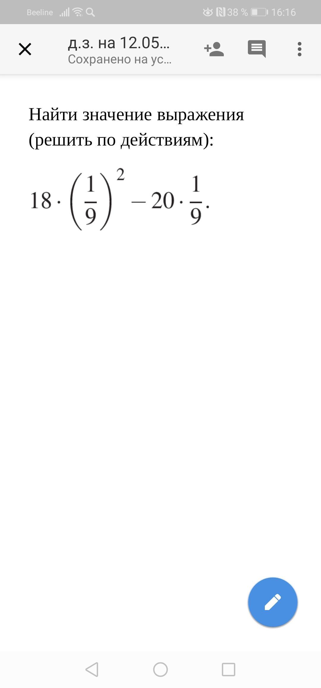
18*(\frac{1}{9})^{2} -20*\frac{1}{9} =18*\frac{1}{81}-20*\frac{1}{9} =\frac{2}{9} -\frac{20}{9} =-\frac{18}{9} =-2

Похожие вопросы
Предмет: Русский язык, автор: kubanova00
Предмет: Математика, автор: мася1235