Предмет: Математика,
автор: podpisnovafish
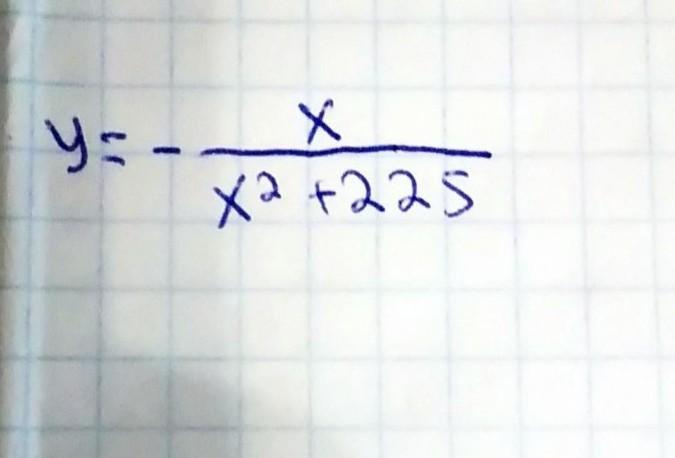
Найти точку максимума. Подробно объяснить, расписать. Помогите, пожалуйста.
Приложения:
Ответы
Автор ответа:
1
Ответ:
(15, -1/30) является локальным минимумом
(-15; 1/30)является локальным максимумом
podpisnovafish:
А можно объяснить, как так получилось?
Спасибо большое!
Похожие вопросы
Предмет: Русский язык,
автор: serce478
Предмет: Українська мова,
автор: nemchenkomaxim
Предмет: Русский язык,
автор: 6736463
Предмет: Музыка,
автор: Darina504
Предмет: Математика,
автор: nayinonayino