Предмет: Математика, автор: demon210607

Решите уравнения (подробно)

Приложения:

Ответы

Автор ответа: ayzhamalkurshan21
0

Ответ:

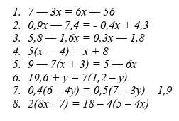
1) 7-3x=6x-56

7+56=6x+3x

9x=63

x=7

2) 0,9x-7,4=-0,4x+4,3

0,9x+0,4x=4,3+7,4

1,3x=11,7

x=9

4) 5(x-4)=x+8

5x-20=x+8

5x-x=8+20

4x=28

x=7

8) 2(8x-7)=18-4(5-4x)

16x-14=18-20+16x

16x-16x=-2+14

0=12 (неправ. уравнение)

Пошаговое объяснение:

думаю остальные все понятно))

Похожие вопросы
Предмет: Русский язык, автор: Lorandicus
Среди предложений 5-14 Среди предложений 2-13 найдите сложноподчиненноеЧ предложение с придаточным изъяснительным

(5)
Что сделает в такой ситуации любой человек, знакомый с правилами игры?
(6) Он проанализирует позицию на доске и, осознав бесперспективность
своего сопротивления, смиренно капитулирует.
(7) Естественно, пример
с шахматной партией лишь отчасти поясняет то положение, в котором
оказался Кутузов во время Бородинского сражения. (8) На карту поставлена
судьба отчизны. (9) Картина сражения меняется чуть ли не каждую минуту.
(Ю) Грохот пушек, свист пуль, крики атакующих... (11) Ежесекундно шлют
донесения, которые порою противоречат друг другу. (12) Прилетает
ординарец от Барклая де Толли, бывшего командующего русской армией. (13)
Барклай передаёт: держаться более невозможно, нужно отступать... (14)
Тяжело ранен Багратион, враг теснит измотанных русских солдат.





Предмет: Алгебра, автор: KrakeNMaN