Предмет: Алгебра,
автор: kkkk1917
ПОМОГИТЕ ПОЖАЛУЙСТА!!!
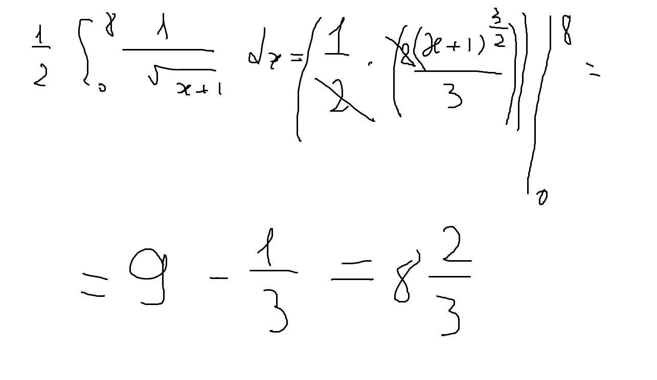
Вычислите определенный интеграл:
Приложения:
Ответы
Автор ответа:
1
дееееееееееержи, браааааааат
Приложения:
Похожие вопросы
Предмет: Русский язык,
автор: duhaninanataly
Предмет: Русский язык,
автор: dasha2004volsc
Предмет: Физика,
автор: sanina1997
Предмет: Математика,
автор: veronikaignato
Предмет: Математика,
автор: Riheifo