Предмет: Химия,
автор: Ulka132
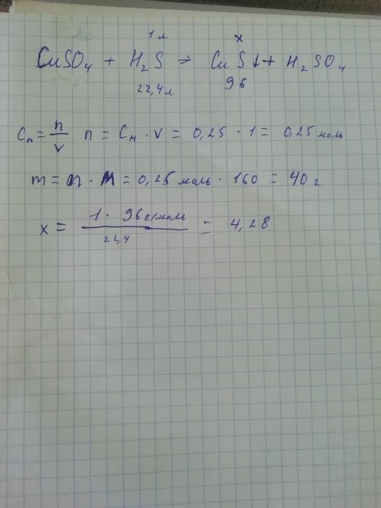
Вычислите массу осадка, который получили, пропустив 1 литр H2S (при н. у.) через 1 литр раствора Cuso4 с молярным концентратом 0,25 моль/литр.
Пожалуйста, можно с решением? Спасибо
Ответы
Автор ответа:
0
Ответ:
4.28 г CuS
Объяснение:
Приложения:
Автор ответа:
0
Ответ:
Объяснение:
Вычислите массу осадка, который получили, пропустив 1 литр H2S (при н. у.) через 1 литр раствора Cuso4 с молярным концентратом 0,25 моль/литр.
1 литр 0,25 М раствора сульфата меди(II) будет содержать 0,25 моль.
1 л сероводорода при н. у. составит 0,0446 моль
Запишем уравнение реакции:
0,25 моль 0,0446 моль
CuSO4 + H2S = CuS↓ + H2S04
Молярная масса сульфида меди (II) cоставит 96 г/моль.
Масса осадка 96 г/моль х 0,0446 моль = 4,28 г
Похожие вопросы
Предмет: Алгебра,
автор: Димарик17
Предмет: Литература,
автор: Atuna
Предмет: Обществознание,
автор: ЛезгинЦик
Предмет: Математика,
автор: fcbarcelona07
Предмет: Математика,
автор: lenar2004