Предмет: Алгебра,
автор: Димарик17
Алгебра 8 класс, помогите пожалуйста :)
Приложения:
Ответы
Автор ответа:
1
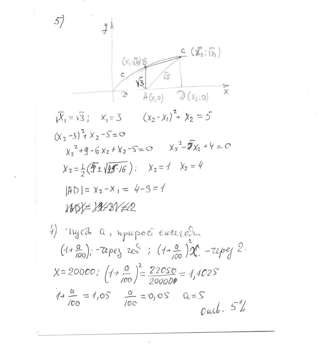
Решение:
Смотри влодение:........
Смотри влодение:........
Приложения:
Димарик17:
Объясните пожалуйста подробно решение 4 номера С:
Похожие вопросы
Предмет: Русский язык,
автор: Снежаночкаааааааа
Предмет: Английский язык,
автор: Angel12858
Предмет: Қазақ тiлi,
автор: SuperStar200
Предмет: Алгебра,
автор: dissbalans327