Предмет: Алгебра,
автор: Vikaavdeevaa
ПОМОГИТЕ СРОЧНО С АЛГЕБРОЙ 8 КЛАСС
Приложения:
Ответы
Автор ответа:
1
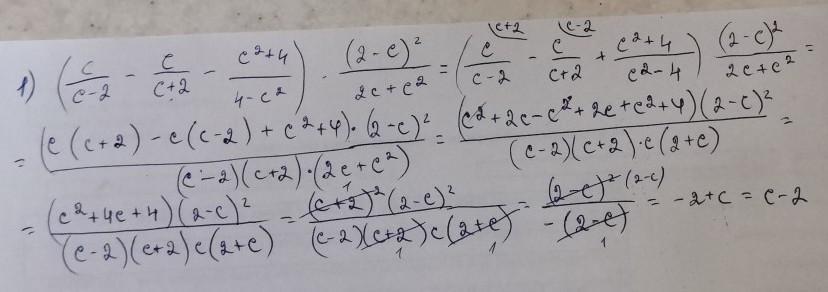
Ответ:
Лвщкщлазвзалвовщашаттвлв
Приложения:
Похожие вопросы
Предмет: Русский язык,
автор: angelinakurili
Предмет: Другие предметы,
автор: Belovushkaa
Предмет: Русский язык,
автор: mihail4
Предмет: Физика,
автор: romanmednov
Предмет: Математика,
автор: Алем20061