Предмет: Алгебра,
автор: vow0w
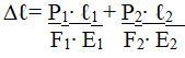
Из данной формулы нужно выразить P1
Приложения:
Ответы
Автор ответа:
1
Ответ: приложено
Объяснение:
Приложения:
terikovramazan:
главное не путать F и Е
Спасибо, выручил!
Похожие вопросы
Предмет: Қазақ тiлi,
автор: LarsBeGo
Предмет: Русский язык,
автор: Alazani
Предмет: Русский язык,
автор: vlaliderkin
Предмет: Математика,
автор: Аноним
Предмет: Литература,
автор: pashaminecraft