Предмет: Математика,
автор: zolotovalisa905
Помогите срочно!!,
На ЛИСТОЧКЕ!,!
Приложения:
Ответы
Автор ответа:
0
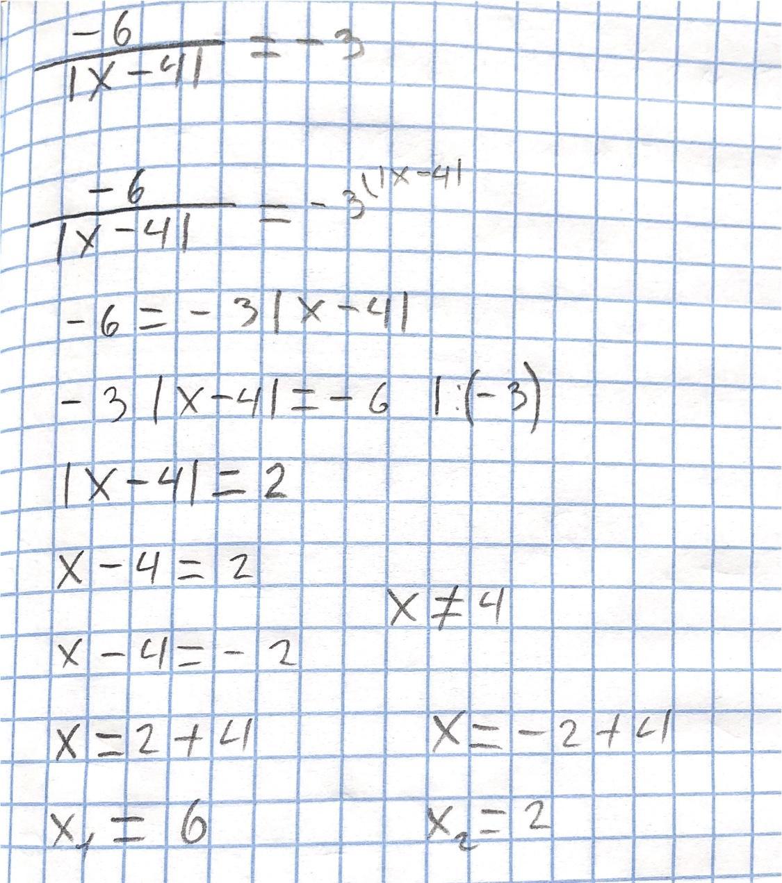
Ответ на приложенном фото)
Приложения:
Автор ответа:
0
Ответ:
ответ смотрите, я сфоткала, думаю поймёте, пыталась писать понятно
Приложения:
Похожие вопросы
Предмет: Русский язык,
автор: Дамирчик505
Предмет: Английский язык,
автор: erosaleksandr
Предмет: Русский язык,
автор: Таша2001
Предмет: Литература,
автор: Василиса1717
Предмет: Информатика,
автор: 5best5