Предмет: Математика,
автор: janeznay
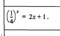
решить уравнение графически
Приложения:
Ответы
Автор ответа:
0
Ответ:
Прикрепил фото. На пересечении там у=1
Похожие вопросы
Предмет: Английский язык,
автор: astashkinakaty
Предмет: Русский язык,
автор: 243k
Предмет: Другие предметы,
автор: tima4224
Предмет: Литература,
автор: dermon
Предмет: Алгебра,
автор: vadya11