Предмет: Алгебра, автор: patya77




ТРЕТЬЕ ЗАДАНИЕ ПОЖАЛУЙСТА СРОЧНО

Приложения:

Ответы

Автор ответа: noname1149
0

Ответ:

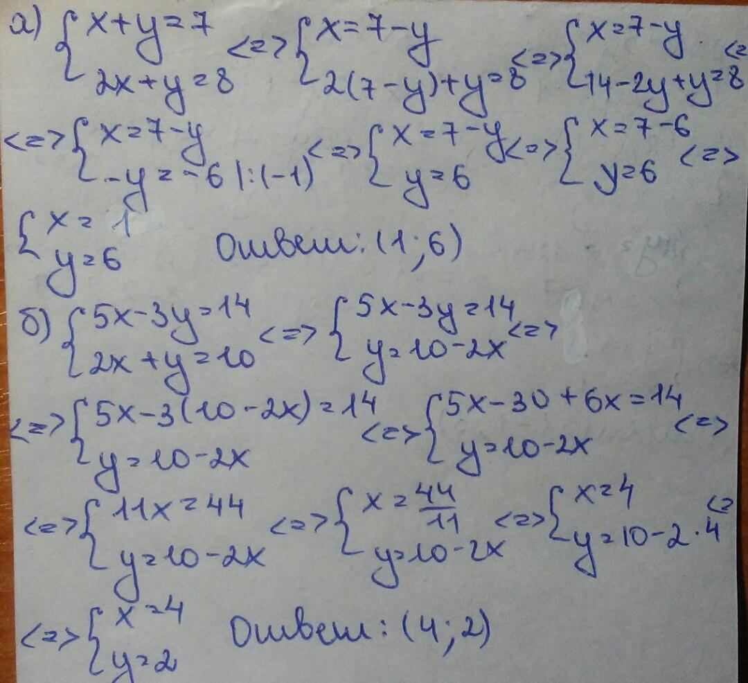
а) (х,у)=(1,6)

б) (х,у)=(4,2)

Автор ответа: Lubluulika
0

Ответ:

Объяснение:

вот

Приложения:

patya77: спасибо
Похожие вопросы
Предмет: Английский язык, автор: majwpa00
будь-ласка допоможіть прочитити текст на українські мові.




The history of medicine in Ukraine begins with the
history of folk medicine.

The first medical hospitals in Kyiv Rus were founded
in the 11 th century and were mostly in the form of alms = houses attached to
churches.

In the 14th and 15th centuries new hospitals were
built and many physicians gave the first aid to the inhabitants of Ukraine and
the sol­diers of Bogdan Khmelnytsky's troops.

As the number of physicians was inadequate some
medical schools which trailed specialists were opened. Kyiv Academy was founded
in 1632. It played a prominent role in the development of the Ukrainian
medicine. Many graduates of the Academy continued to enrich their knowledge
abroad and received their doctors' de­grees there. Many former students of this
Academy have become the well-known scientists. They are the epidemiologist D.
S. Samoilovych, the obstetrician N, M. Ambodyk-Maximovych, the podiatrist S. F.
Chotovytsky, the anatomist 0. M. Shumlyansky and many .others.

At the end of the I8th and during the 19th centuries
the medical departments were formed at the Universities of Kharkiv, Kyiv, Lviv
and Odesa. The total number of physicians has increased m Ukraine. The medicine
of Zemstvo was widely used at that time.

During the Crimean War (1854-1856), upon Pirogov's
initiative the first detachment of nurses was trained and sent to Sevastopol to
help its defenders. It gave the beginning of the organization "Red
Cross".

In 1686 the first bacteriological station was
organized in Odesa which was of great importance in the development of
microbiology and epidemiology. The famous scientists I. I. Mechnikov and M. F.
Gamaliya worked at this station and succeeded much in their investigations.
Inspite of favourable conditions for the successful development of natural
sciences in Russia many outstanding scientists worked in Ukraine. It is known
that the brilliant scientist M. I. Pirogov and his followers, as V. O.
Karavayev, O. F. Shimanovsky, M. V. Sklifosovsky and others made valuable
contribution in the Ukrainian medicine.

The famous scientists V. P. Obraztsov and M. D.
Strazhesko were founders of Kyiv therapeutist’ school. They made a huge
progress in the field of cardiology Winch was done in the treatment of many eye
diseases by the prominent scientist, academician V. P. Filatov who founded the
Institute of Eye diseases in Odesa. Many other outstand­ing scientists worked
in Ukraine whose names are well known m the world.