Предмет: Алгебра,
автор: kimksyusha01
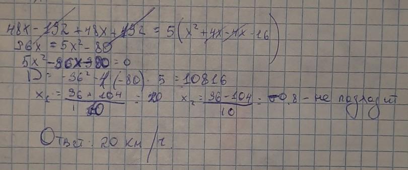
пароход проходит 48 км по течению реки и такое же расстояние против течения за 5 часов. Найдите скорость парохода в стоячей воде, если скорость течения реки составляет 4 км в час.
Ответы
Автор ответа:
6
Решение во вложении...
Приложения:
kimksyusha01:
спасииибо огрооомнооое)))
Похожие вопросы
Предмет: Русский язык,
автор: kinderz
Предмет: Русский язык,
автор: svetlanaiv
Предмет: Українська мова,
автор: marinagulyay
Предмет: Геометрия,
автор: altanzuchi
Предмет: Математика,
автор: reny1