Предмет: Алгебра,
автор: egormeshok
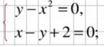
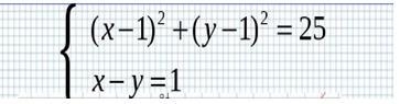
Решите систему уравнений графически.
Приложения:
Ответы
Автор ответа:
0
Ответ: 1) (-2;-3); (5;4). 2) (-1;1); (2;4).
Объяснение:
Решения см. на фото.
Приложения:
Похожие вопросы
Предмет: Русский язык,
автор: aklim76
Предмет: Русский язык,
автор: tanya31215
Предмет: Русский язык,
автор: milasuper1999
Предмет: Алгебра,
автор: Kirito102
Предмет: Химия,
автор: Anastasiya190702