Предмет: Алгебра, автор: Syplexis

Решите упражнение, даю 50 баллов!

Приложения:

Ответы

Автор ответа: kakbyda
0

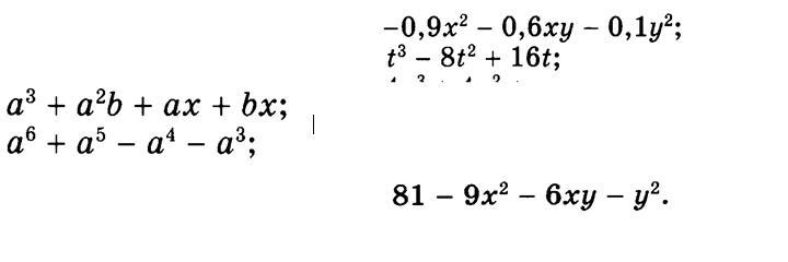
a^{3}+a^{2}b+ax+bx=a^{2}(a+b)+x(a+b)=(a+b)(a^{2}+x)

a⁶+a⁵-a⁴-a³=a³(a+1)²(a-1)

-0,9x²-0,6xy-0,1y²=-\frac{9}{10}x^{2}-\frac{3}{5}xy-\frac{1}{10}y^{2}=-\frac{1}{10}(9x^{2}+6xy+y^{2})=-\frac{1}{10}(3x+y)^{2}

t^{3}-8t^{2}+16t=t(t^{2}-8t+16)=t(t-4)^{2}

81-9x^{2}-6xy-y^{2}=81-(9x²+6xy+y²)=81-(3x+y²)=(9-3x-y)(9+3x+y)

Автор ответа: MistaB
0

a^6+a^5-a^4-a^3 = \\= a^3\left(a^3+a^2-a-1\right)=\\=a^3\left(a^2(a+1)-(a+1) \right)=\\=a^3\left((a+1)(a^2-1)\right)=\\=a^3\left((a+1)(a-1)(a+1)\right)=\\=a^3(a+1)^2(a-1)

a^3+a^2b+ax+bx =\\= a^2\left(a+b\right)+x\left(a+b\right)=\\= (a+b)(a^2+x)

-0,9x^2-0,6xy-0,1y^2=\\=-0,1(9x^2+6xy+y^2)=\\=-0,1((3x)^2+2\cdot3x\cdot y+y^2)=\\=-0,1(3x+y)^2

t^3-8t^2+16t=\\=t(t^2-8t+16)=\\=t(t^2-2\cdot t \cdot 4+4^2)=\\=t(t-4)^2

81-9x^2-6xy-y^2=\\=9^2-\left((3x)^2+2\cdot 3x\cdot y + y^2\right)\\=9^2-(3x+y)^2=\\=\left(9-(3x+y) \right)(9+3x+y)\\=(9-3x-y)(9+3x+y)

Похожие вопросы
Предмет: Русский язык, автор: vipirinavasil

1. я уверен, что для полного овладения русским языком нужно не только постоянное общение с простыми русскими людьми, но и общение с лесами, водами, старыми ивами, с пересвистом птиц и с каждым цветком. 2. должно быть у каждого человека случается своё счастливое время открытий. 3. случилось и у меня такое лето открытий, обильное грозами и радугами. 4. прошло это лето в тени сосновых лесов, журавлиных криках, игре ночного неба, в непролазных  пахучих зарослях таволги, в воинственных петушиных воплях и в песнях девушек среди вечереющих лугов, когда закат золотит девичьи глаза.  5. в это лето я узнал заново много слов, которые до той поры были хотя и известными мне, но далёкими и не пережитыми. 6. раньше они вызывали только один обычный скудный образ. 7. а вот теперь оказалось, что в каждом таком слове заложена бездна живых образов. 8. какие же это слова? 9. их так много. 10. неизвестно даже с каких начать. 11. между прочим, существует своего рода закон воздействия писательского слова на читателя. 12. иногда писатель не видит за словами того, о чём он пишет. 13. а если писатель не видит,то и читатель ничего не увидит за ними. 14. надо видеть. 15. и тогда писатель пишет так, что самые простые и порой даже стёртые слова приобретают новизну. 16. вызывают у читателя те мысли, чувства, состояние какие писатель хотел ему передать.             помогите, 1. определить стиль и тип речи текста; 2. записать № предложения , в котором содержится основная мысль текста; 3. из предложения№4 выписать слово с чередуюей гласной в корне; 4. заменить словосочетание  с пересвистом птиц (управление) на словосочетание со связью согласования; 5. выписать грамматическую основу из предложения №8. 6. среди предложений 1-4 найти предложения с вводнымсловом.  

Предмет: Математика, автор: Пандора1111