Предмет: Математика, автор: wispwisp

ИНТЕГРИРОВАНИЕ СЛОЖНЫХ ФУНКЦИЙ
помогите хотя бы один из примеров решить! 100 баллов.

Приложения:

wispwisp: срочно!

Ответы

Автор ответа: Helper211
0

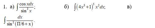
а)   \int {\frac{cosxdx}{sin^3x} }=\int {\frac{d(sinx)}{sin^3x} }=-\frac{1}{2sin^2x}+C

б) \int {(4x^3+1)^5x^2dx}=\frac{1}{12} \int {(4x^3+1)^5d(4x^3+1)}=\frac{(4x^3+1)^6}{72}+C

в) \int {\frac{dx}{sin^2(\frac{\pi}{6}+x )} }=\int {\frac{d(\frac{\pi}{6}+x)}{sin^2(\frac{\pi}{6}+x )} }=-ctg(\frac{\pi}{6}+x)+C

Похожие вопросы
Предмет: Русский язык, автор: Katerino4ka82
Предмет: Математика, автор: ЕврикTV
Предмет: Химия, автор: lenaudovychenko