Предмет: Математика,
автор: Аноним
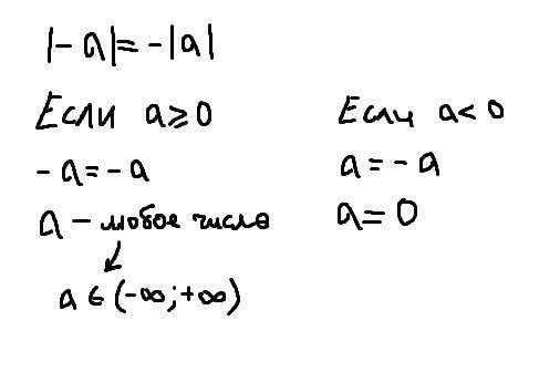
решите уравнение \-а\=-\а\
ведите корень уравнения или корни.
Ответы
Автор ответа:
1
Ответ:
a - любое число или а=0
Пошаговое объяснение:
Приложения:
Похожие вопросы
Предмет: Українська мова,
автор: viktoriyaxodan10
Предмет: Химия,
автор: мападо
Предмет: Алгебра,
автор: pavel940
Предмет: Математика,
автор: dasha2272
Предмет: Математика,
автор: Nastauzimka