Предмет: Геометрия,
автор: Kdychkcxxc
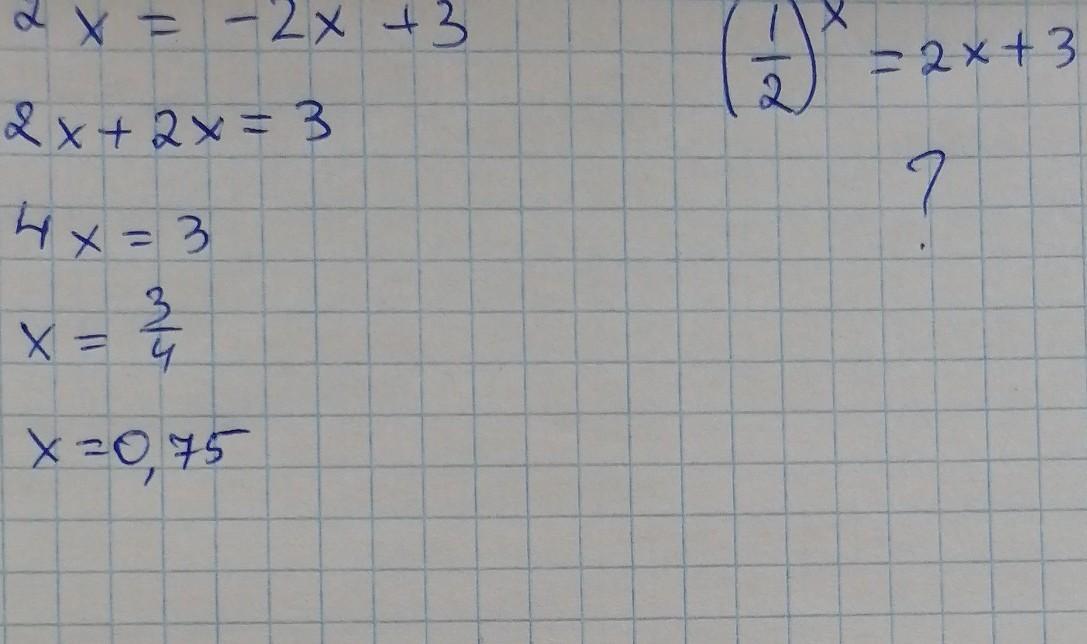
150 баллов дам пожалуйста помогите решить первый вариант.тот что не в скобках
Приложения:
Ответы
Автор ответа:
0
1 не смог
5 там 2 вариант тоже не смог
Приложения:
Kdychkcxxc:
Боже ты просто гений спасибо тебе большое ☺
ахаххаха обращайся)
Похожие вопросы
Предмет: Геометрия,
автор: MEGASanek5
Предмет: Математика,
автор: 070500
Предмет: Русский язык,
автор: MarinKa979797
Предмет: Литература,
автор: Аноним