Предмет: Алгебра,
автор: Турбокрут5
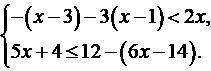
ДАЮ 100 БАЛЛОВ. Помогите с алгеброй. 8 класс
Приложения:
Ответы
Автор ответа:
0
Объяснение:
вот вот вот вот вот вот вот вот вот
Приложения:
Похожие вопросы
Предмет: Химия,
автор: vikossss
Предмет: Геометрия,
автор: Passw
Предмет: Физика,
автор: DrMcKay
Предмет: Математика,
автор: seyshin66
Предмет: Математика,
автор: ujk2982983429