Предмет: Алгебра,
автор: daniellasan2604
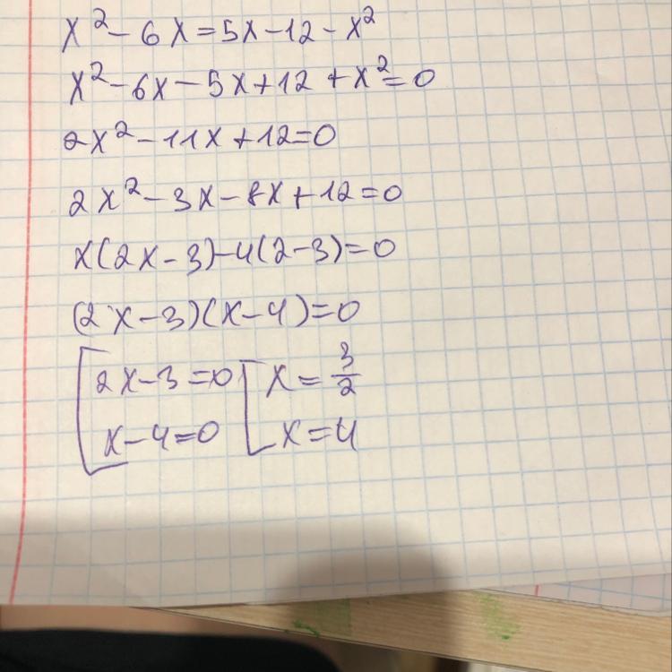
Помогитеее решить уравненияяя; x^2-6x=5x-12-x^2
4x^2-19x+32=-6x^2-6x+41
-3x^2-x+8=(x-3)^2
Прошууууу
Ответы
Автор ответа:
1
Это первое щас сделаю остальные
Приложения:
akulaizikei84:
Я тут не давно и протупила сори
Похожие вопросы
Предмет: Химия,
автор: MashaW
Предмет: Математика,
автор: Яна200111
Предмет: Обществознание,
автор: BarmenML
Предмет: Математика,
автор: aleksandrakundu
Предмет: Математика,
автор: Аноним