Предмет: Математика,
автор: batueva1964
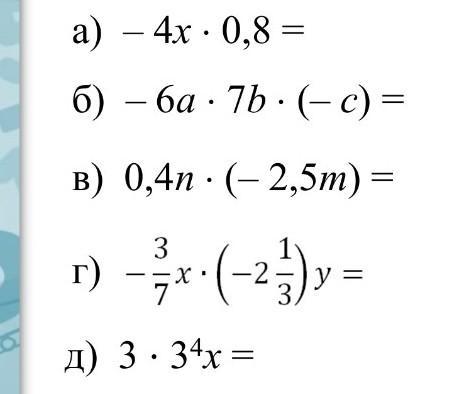
упростите выражение и запишите его коэффициент
Приложения:
Ответы
Автор ответа:
1
Ответ:
А)-3.2х
Б)42abc
В)-mn
Г) ху
Д) 243х
Пошаговое объяснение: нужно числа умножить между собой и определить знаки. Числа это коэффициенты, буквы переменные
Похожие вопросы
Предмет: Биология,
автор: ololol99
Предмет: Алгебра,
автор: Docha27
Предмет: Английский язык,
автор: Julia095
Предмет: Литература,
автор: Аноним