Предмет: Алгебра,
автор: arivez
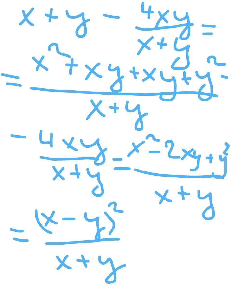
x+y-4xy/x+y
решите плиз
Ответы
Автор ответа:
1
Ответ:
Удачи!) Думаю, что поймёшь
Приложения:
Похожие вопросы
Предмет: Математика,
автор: 338780
Предмет: Геометрия,
автор: Pspgo
Предмет: Математика,
автор: fhdghdg
Предмет: Математика,
автор: Хай0бро
Предмет: Математика,
автор: suban2