Предмет: Алгебра,
автор: svetaa1997
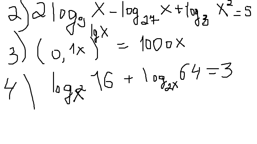
Помогите пожалуйста решите 4 логарифма подробно плз.
1) lg(2x+1)=0.5lg(1-3x)
2)Во вложений
3)во вложений)
4)во вложений
Приложения:
Ответы
Автор ответа:
0
Если есть ответы тоже выкладывай а то какие-то странные т.е большие ответы получаются смотри фото
Приложения:
Похожие вопросы
Предмет: Математика,
автор: salminailzatovna
Предмет: Химия,
автор: Ahmadbey
Предмет: Русский язык,
автор: msodik
Предмет: Алгебра,
автор: seryi001