Предмет: Алгебра,
автор: psspdpdososo
ПОМОГИТЕ ПОЖАЛУЙСТА!!!! СРОЧНО!!!! ДАЮ 20 БАЛЛОВ
Приложения:
Ответы
Автор ответа:
0
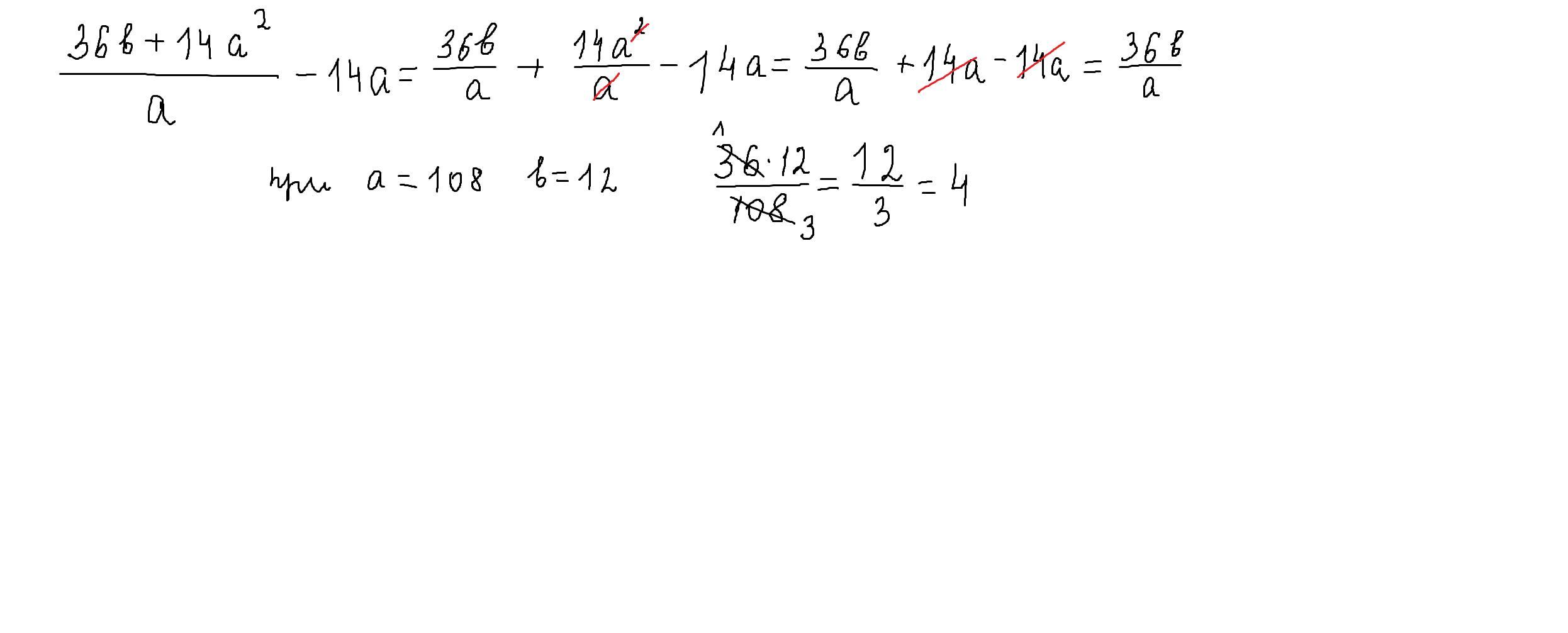
Ответ:
Отвеееееееет :4
Объяснение:
Приложения:
Автор ответа:
0
Ответ:
4
Объяснение:
решение смотри внизу
Приложения:
Похожие вопросы
Предмет: Қазақ тiлi,
автор: seghj
Предмет: Русский язык,
автор: sOyss
Предмет: Русский язык,
автор: лёшка333
Предмет: Музыка,
автор: alessandramiro
Предмет: Геометрия,
автор: KatyaZheleznyak