Предмет: Математика,
автор: kokters
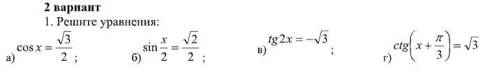
Помогите пж. С решением.
Приложения:
Ответы
Автор ответа:
1
Под оадсьсдсд сослала
Приложения:
Похожие вопросы
Предмет: Другие предметы,
автор: Аноним
Предмет: Русский язык,
автор: Оксиш
Предмет: Английский язык,
автор: Аноним
Предмет: Литература,
автор: зайчитк598
Предмет: Математика,
автор: 19avg2002