Предмет: Математика,
автор: nastyushakrotova
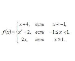
помогите решить (Непрерывность функции)
Приложения:
Ответы
Автор ответа:
1
Ответ:1) f(x)=x+4 f'(x)=1+0=1
2) f(x)=x^2+2 f'(x)=2x+0=2x
3) f(x)=2x f'(x)=0*1=0
Пошаговое объяснение:
Автор ответа:
0
Ответ:
Пошаговое объяснение:
Приложения:
Похожие вопросы
Предмет: Русский язык,
автор: 567899
Предмет: Русский язык,
автор: Griphon1098
Предмет: Русский язык,
автор: SashaSashaG
Предмет: Математика,
автор: Викулька135
Предмет: Математика,
автор: mercyru82rumbler