Предмет: Алгебра,
автор: NASYANSHY
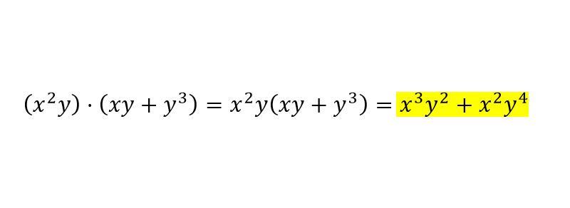
Помогите раскрыть скобки, пожалуйста
Приложения:
Ответы
Автор ответа:
1
Решение в приложении
Приложения:
NASYANSHY:
Спасибо)
Похожие вопросы
Предмет: Другие предметы,
автор: Аlеxey
Предмет: Українська мова,
автор: office1
Предмет: Русский язык,
автор: Anonim12345
Предмет: Физика,
автор: Ella005
Предмет: Математика,
автор: алина3091