Предмет: Геометрия,
автор: Deniss2018
Помогите пожалуйста с заданием!!!!
Приложения:
Ответы
Автор ответа:
1
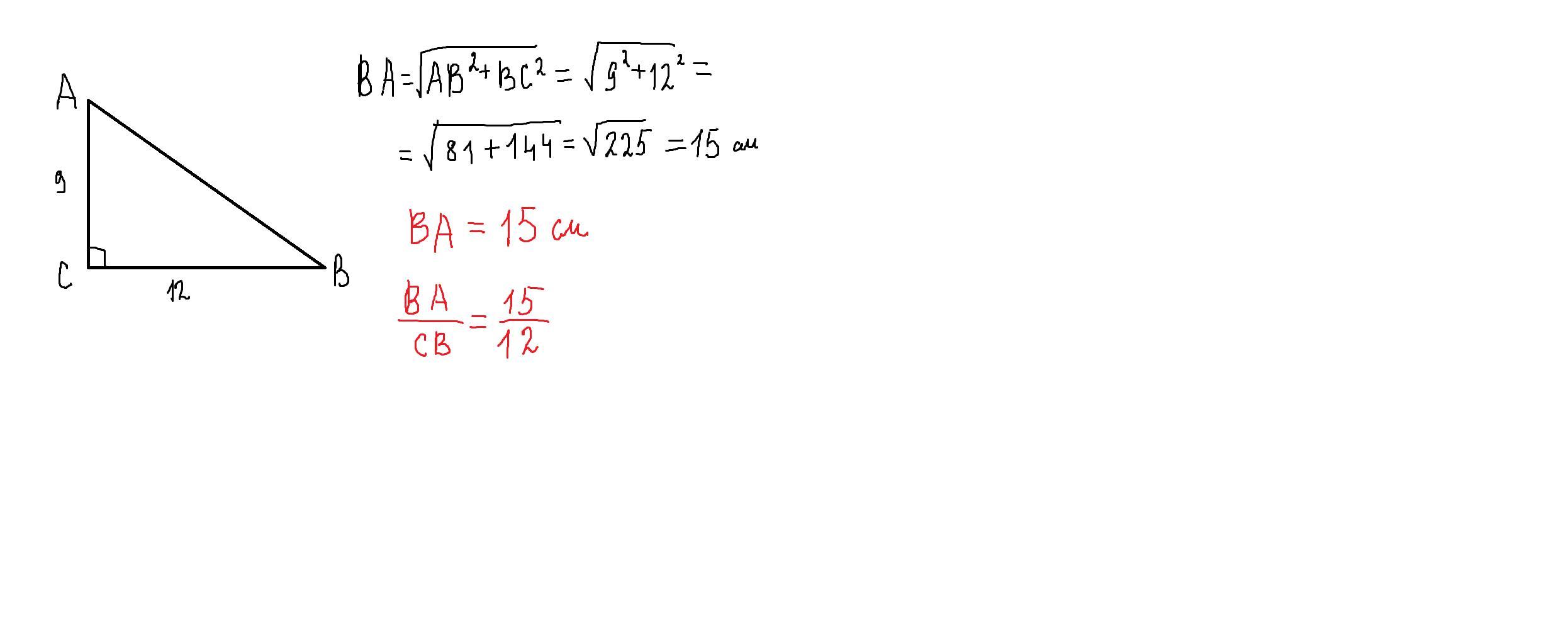
Ответ:
Объяснение:
рисунок смотри внизу
Приложения:
Похожие вопросы
Предмет: Русский язык,
автор: 1234567da
Предмет: Английский язык,
автор: kristinaparker
Предмет: Русский язык,
автор: malyshkaiylia
Предмет: Алгебра,
автор: Afk77
Предмет: Математика,
автор: tekiqazet