Предмет: Алгебра,
автор: pomagite4636
ПОМОГИТЕ РЕШИТЬ ПЖ
1127 ОТДАМ ВСЕ СВОИ БАЛЛЫ! (35)
Приложения:
pomagite4636:
Пж желательно с решением!
Ответы
Автор ответа:
0
Ответ:
Объяснение:
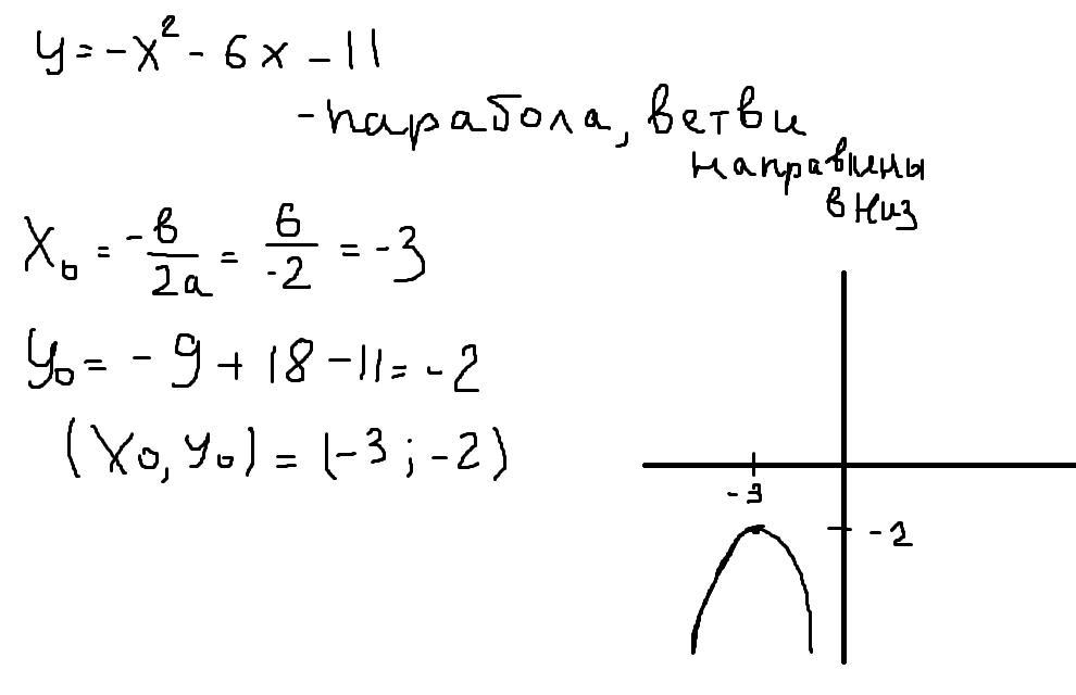
Парабола направлена вниз. Точка максимума находится в нижней полуплоскости. Следовательно, парабола никогда не будет расположена в верхней.
Заранее извиняюсь за почерк
Приложения:
Похожие вопросы
Предмет: Другие предметы,
автор: Мэк
Предмет: Русский язык,
автор: Nyna123456
Предмет: Русский язык,
автор: dimonn29
Предмет: Физика,
автор: jekadove