Предмет: Алгебра,
автор: kirilltimosin363
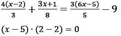
отдаю все баллы задание 1:Решите уравнения:
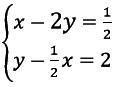
Задание 2. это где большая скобка в начале
Определите количество решений системы графическим методом:
Приложения:
Ответы
Автор ответа:
1
.....................
Приложения:
Похожие вопросы
Предмет: Другие предметы,
автор: Citer23
Предмет: Русский язык,
автор: сашачихирев
Предмет: Русский язык,
автор: Kristina1061996
Предмет: Алгебра,
автор: Аноним