Предмет: Алгебра,
автор: hrhrh6
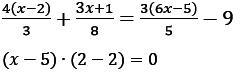
Решите уравнения:
Снизу
=
Приложения:
Ответы
Автор ответа:
0
Ответ:
Объяснение:
(x-5)*0=0, x-любое число
hrhrh6:
а верхних пример?
Похожие вопросы
Предмет: Английский язык,
автор: Аноним
Предмет: Русский язык,
автор: снигирь
Предмет: Русский язык,
автор: 150160
Предмет: Математика,
автор: Аноним
Предмет: Геометрия,
автор: alinachornaya56