Предмет: Геометрия,
автор: varya123952
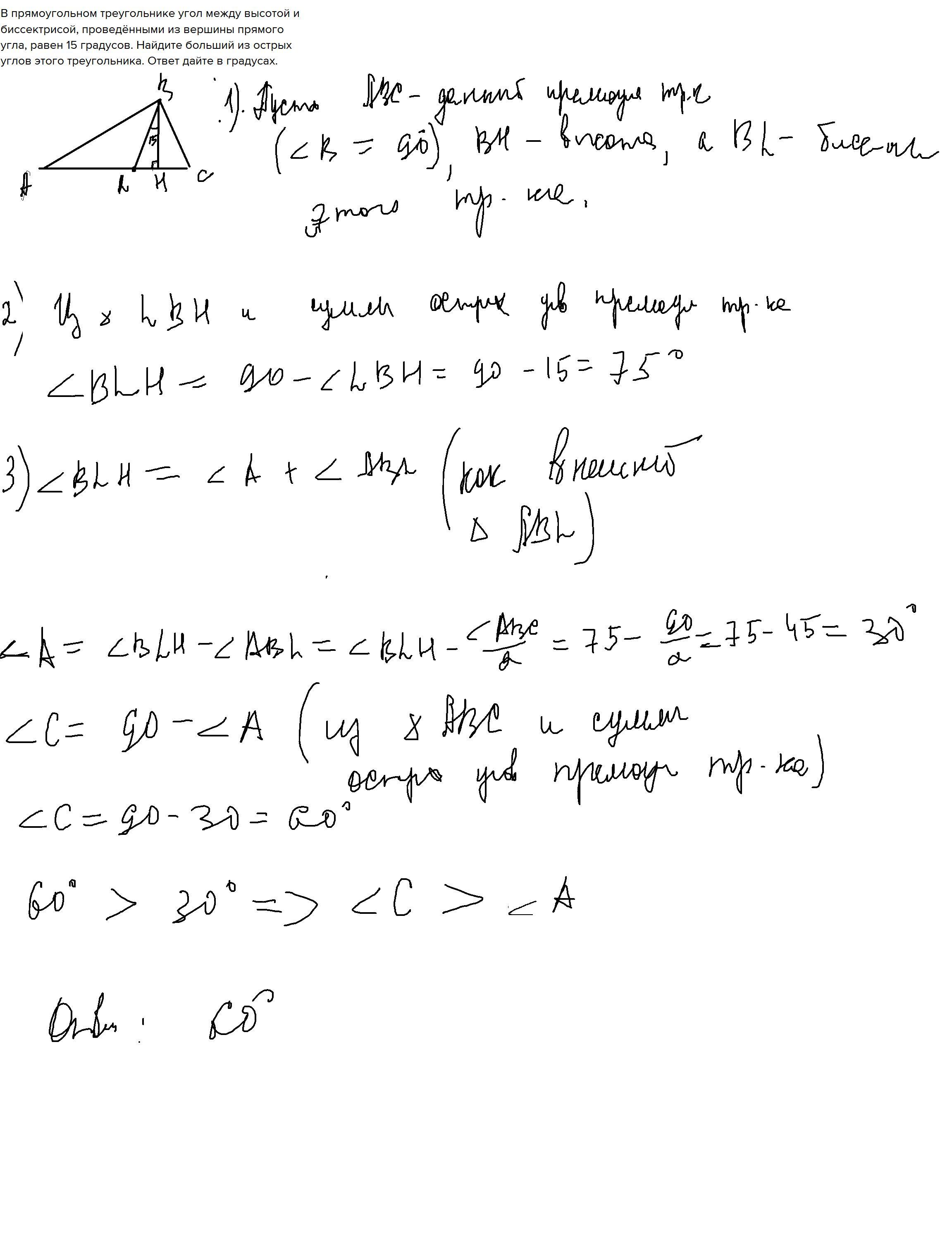
В прямоугольном треугольнике угол между высотой и биссектрисой, проведёнными из вершины прямого угла, равен 15 градусов. Найдите больший из острых углов этого треугольника. Ответ дайте в градусах. (если можно то с рисунком)
binamaksimchuk:
Могу без рисунка.Нет камеры.
Ответы
Автор ответа:
2
Ответ:
Объяснение:В прямоугольном треугольнике угол между высотой и биссектрисой, проведёнными из вершины прямо
Приложения:
Спасибо
Похожие вопросы
Предмет: Английский язык,
автор: RimmaMukovskaya
Предмет: Русский язык,
автор: Alexisa
Предмет: Русский язык,
автор: vikabrov
Предмет: География,
автор: RasulIsmailov11
Предмет: Химия,
автор: ashurnorbutaev