Предмет: Алгебра,
автор: puskinv869oya4w4
3 задание По действиям если можно
Приложения:
Ответы
Автор ответа:
0
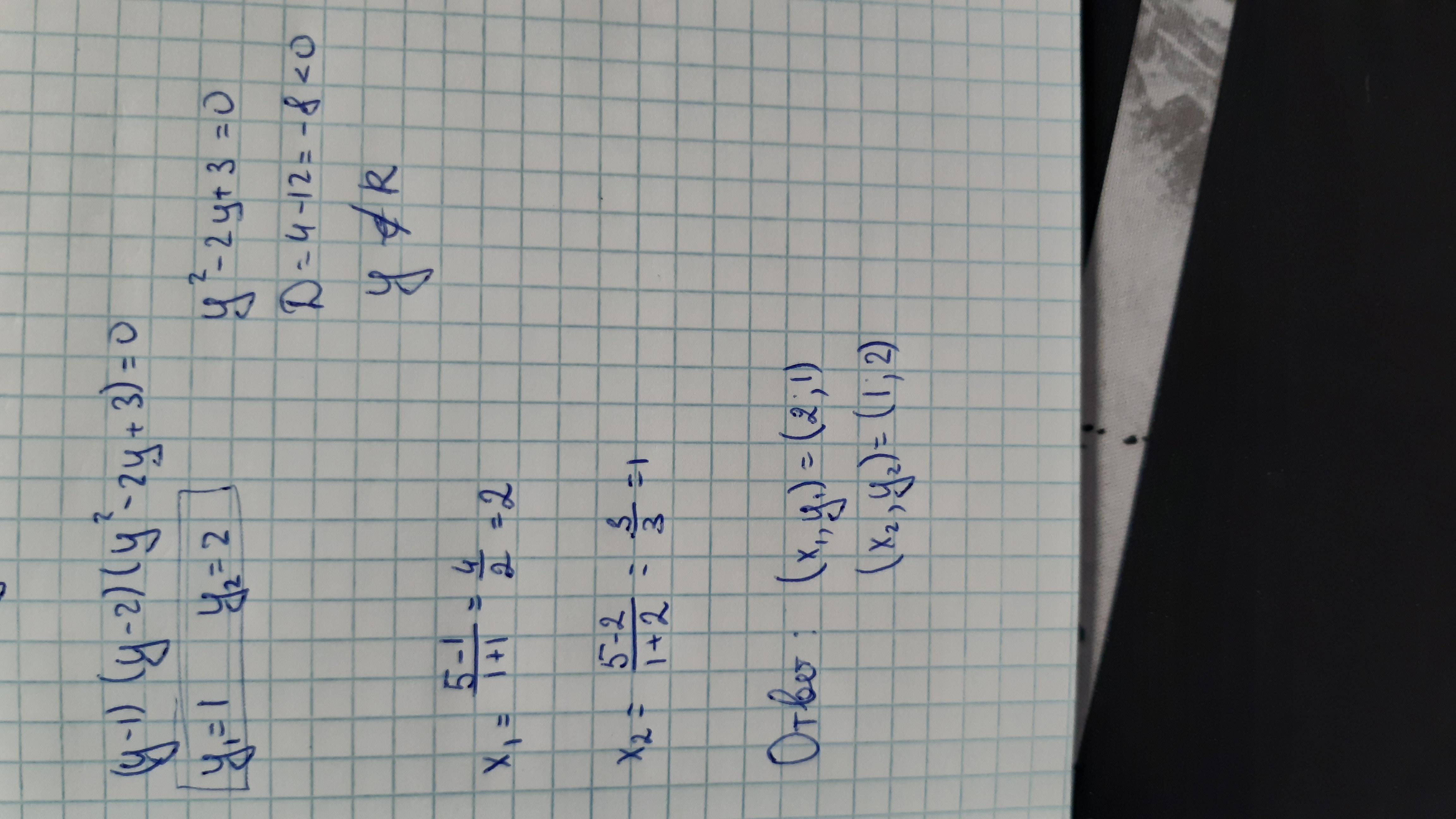
Из первого уравнения вычислили Х, подставили во второе уравнение.
Раскрыли скобки, привели к единой дроби.
Подробнее во вложениях
Приложения:
Автор ответа:
0
Ответ:(1;2), (2;1)
Объяснение:
Приложения:
Похожие вопросы
Предмет: Русский язык,
автор: irinka170
Предмет: Английский язык,
автор: 24121938
Предмет: Українська мова,
автор: Irysja
Предмет: Математика,
автор: Олег12341