Предмет: Алгебра,
автор: dasatotackaa
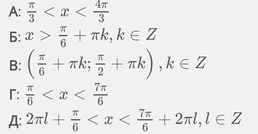
Помогите!!! Решите неравенство √ 3 sin x > cos x .
варианты ответов на фото
пожалуйста объясните свой ответ
Приложения:
Ответы
Автор ответа:
1
Смотри в приложении:
Приложения:
Похожие вопросы
Предмет: Русский язык,
автор: н0а3
Предмет: Русский язык,
автор: vera121199
Предмет: Русский язык,
автор: кирюха46рус
Предмет: Математика,
автор: anluc98
Предмет: Алгебра,
автор: Di995561