Предмет: Математика,
автор: NukeDark2
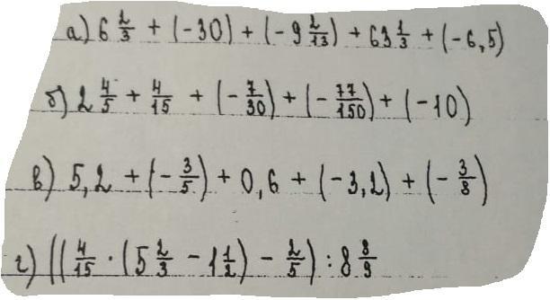
1. Решите вычисления:
6 2/3+(-30)+(-9 2/13)+63 1/3+(-6,5)=
2 4/5+4/15+(-7/30)+(-77/150)+(-10)=
5,2+(-3/5)+0,6+(-3,2)+(-3/8)=
((4/15*(5 2/3-1 1/2)-2/5):8 8/9=
Приложения:
Ответы
Автор ответа:
1
Ответ:
a)24 9/26 б)-7 11/75 ответ а и б
Автор ответа:
0
Ответ: ответ
Пошаговое объяснение:
Фотка
Приложения:
Похожие вопросы
Предмет: Русский язык,
автор: андреян
Предмет: Русский язык,
автор: ааа12d
Предмет: Русский язык,
автор: Катюн31
Предмет: История,
автор: НастяВолкова13
Предмет: Химия,
автор: 5Вика55