Предмет: Математика,
автор: toxan4ik
помогите пожалуйста дам 10 баллов пожалуйста
Приложения:
Ответы
Автор ответа:
2
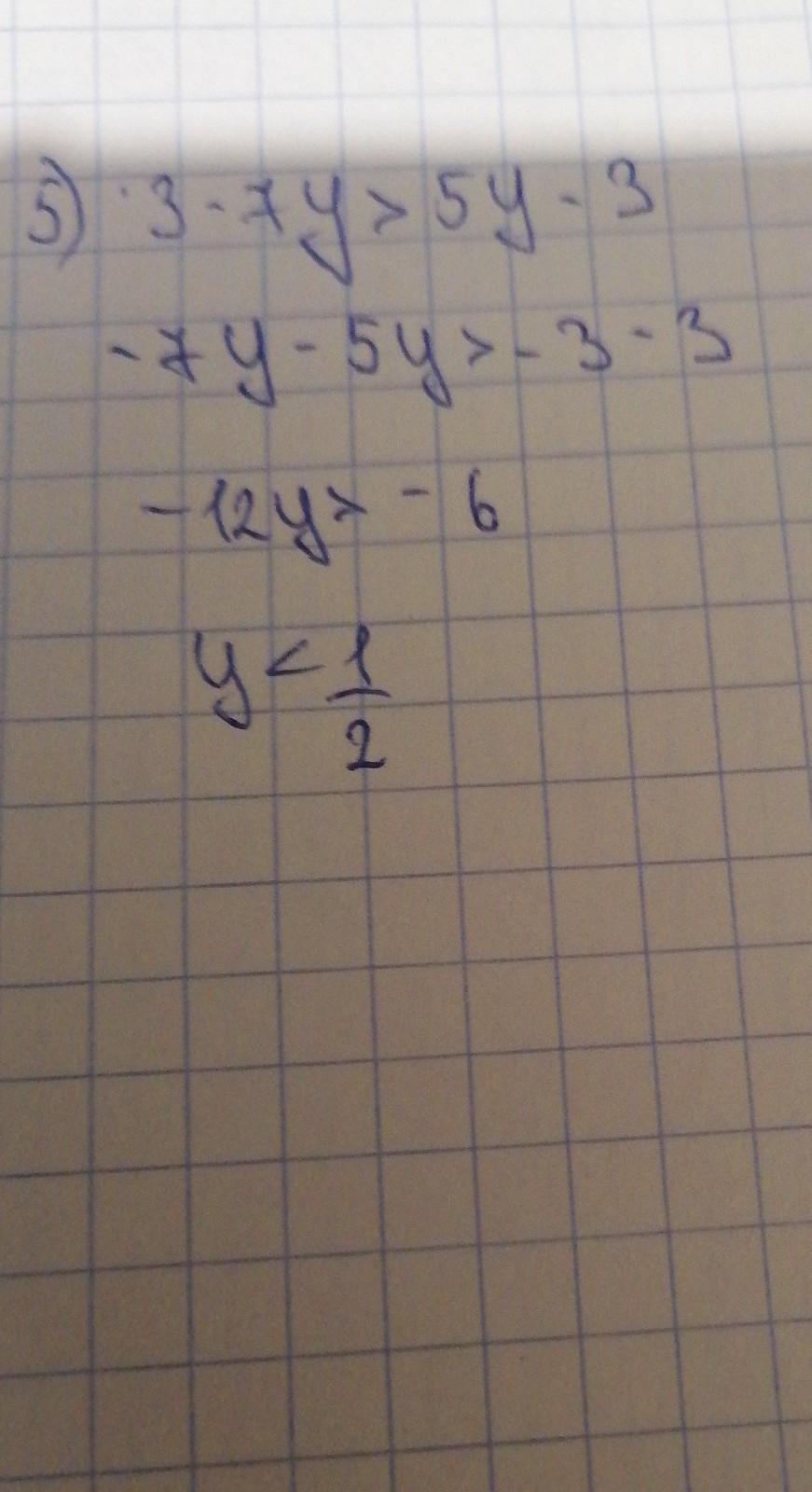
Ответ:
Как-то то так должно быть)
Приложения:
Похожие вопросы
Предмет: Русский язык,
автор: lebedevpitr12
Предмет: Геометрия,
автор: danyamamonenkov
Предмет: Українська мова,
автор: buzinovaula960
Предмет: Литература,
автор: LNMike
Предмет: Математика,
автор: Влад7079