Предмет: Алгебра,
автор: innayakovleva2505
СРОЧНО РЕШИТЬ ПРОИЗВОДНЫЕ !!!!!!! ДАЮ 45 БАЛЛОВ
Приложения:
Ответы
Автор ответа:
1
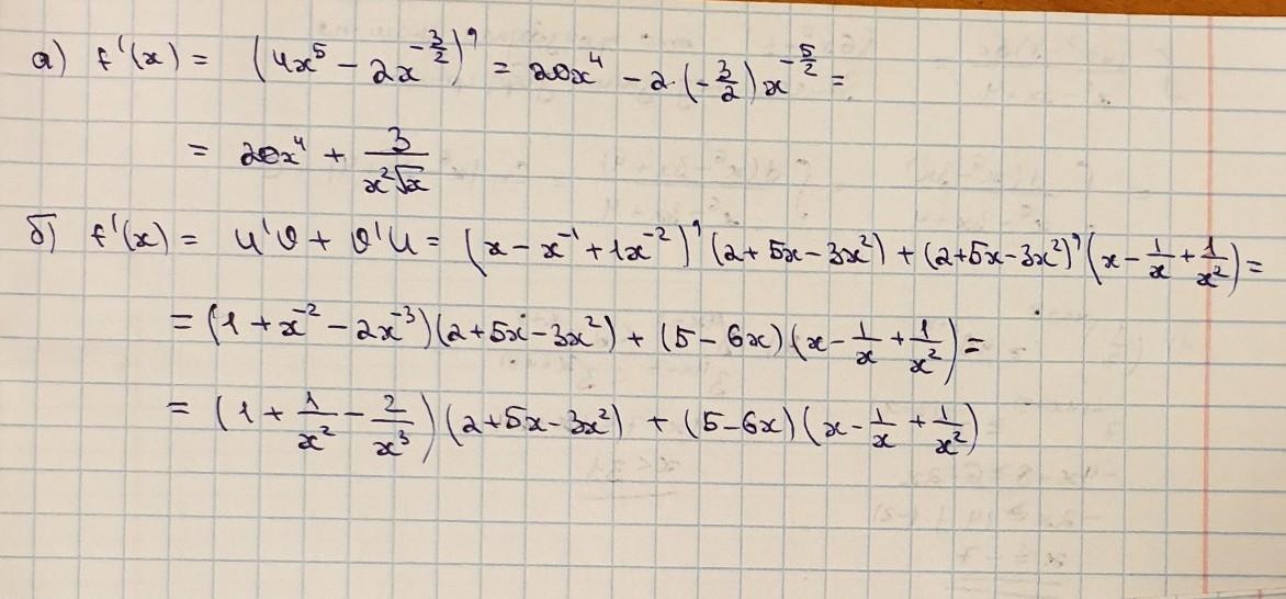
Ответ:
решение на фотографии
Приложения:
Sadika15c:
Здравствуйте! Пожалуйста помогите с алгеброй в моём профиле.
Похожие вопросы
Предмет: Химия,
автор: fandzigasvatoslav1
Предмет: Английский язык,
автор: qlsban0
Предмет: Алгебра,
автор: elenamelnicuk68
Предмет: Физика,
автор: ddf76Бедуин
Предмет: Математика,
автор: elculikowa2015