Предмет: Алгебра,
автор: SkyDall
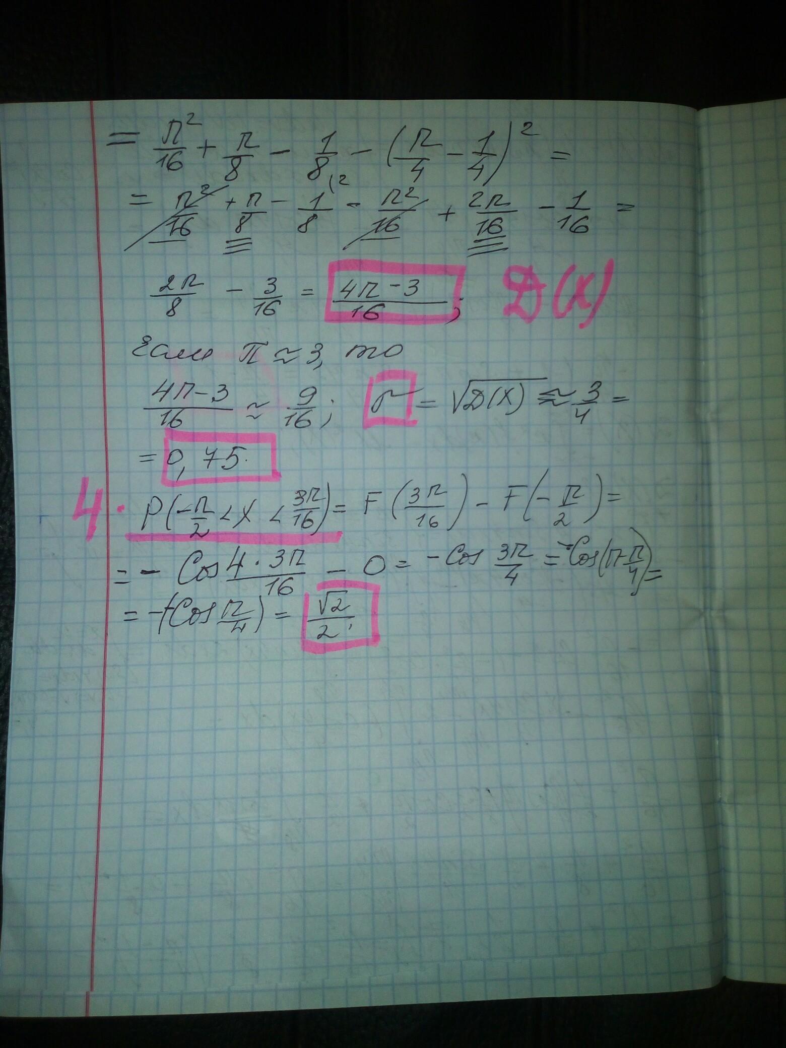
Дана функция. Необходимо найти:
1. Значение постоянной А, при котором f(x) будет плотностью распределения некоторой случайной величины Х
2. Интегральную функцию распределения F(x) этой случайной величины Х.
3. Мат. ожидание, дисперсию, среднее квадрат. отклонение.
4. Вероятность попадания случ. величины X в интервал (а,b).
Построить графики функций F(x) и f(x)
Приложения:
Ответы
Автор ответа:
1
Ответ:во вложении Объяснение:
Приложения:
Похожие вопросы
Предмет: Математика,
автор: mariankafrans
Предмет: Кыргыз тили,
автор: tazabekovanazira970
Предмет: Математика,
автор: boarskihvaleria66
Предмет: Химия,
автор: venomreal1232
Предмет: Математика,
автор: annakaval