Предмет: Физика,
автор: Jisoo6568
СРОЧНО!!!!!
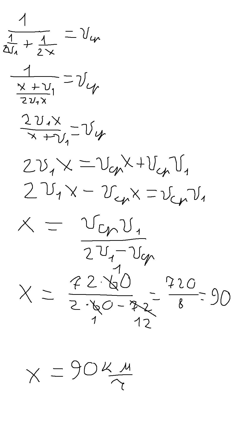
поезд половину пути до станции равномерно двигался со скоростью 60 км ч во второй половине пути машинист увеличил скорость но продолжал двигаться равномерно этого средняя скорость движения составила 20 м с Определите скорость (в км /ч )поезда на второй половине рпути А-80 Б-84 В-94 Г-90
Ответы
Автор ответа:
2
Ответ:
90km/hr
Объяснение:
Приложения:
Похожие вопросы
Предмет: История,
автор: bondarenkodariya13
Предмет: Математика,
автор: anqweex
Предмет: Алгебра,
автор: Аноним
Предмет: Биология,
автор: Sunay11