Предмет: Математика,
автор: Аноним
помогите пожалуйста дам 10 балов
Приложения:
jekadva:
Ответ: 3
Ответы
Автор ответа:
1
Ответ:
Как-то так если не понятно пиши комент я подскажу
Приложения:
спасибо
неверный ответ
почему ?
ищи ошибку сам
Автор ответа:
1
Ответ:
3
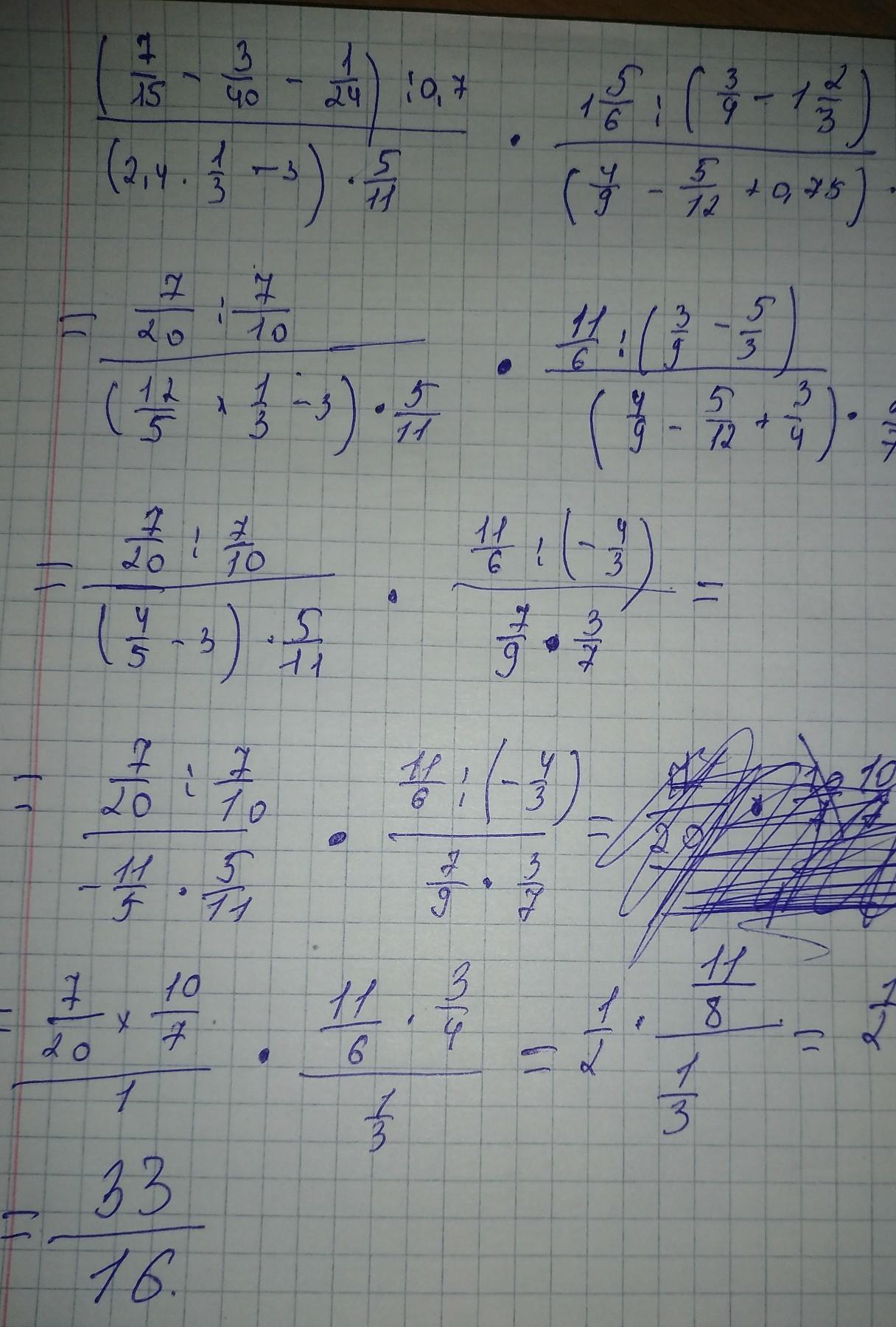
Пошаговое объяснение:
1) 7/15 - 3/40 = 56/120 - 9/120 = 47/120
2) 47/120 - 1/24 = 47/120 - 5/120 = 42/120 = 7/20
3) 7/20 : 0,7 = 7/20 * 10/7 = 1/2
4) 2,4 * 1/3 = 0,8
5) 0,8 - 3 = -2,2
6) -2,2 * 5/11 = -1
7) 1/2 : (-1) = -1/2
8) 3/4 - 1 2/3 = 9/12 - 1 8/12 = -11/12
9) 1 5/6 : (-11/12) = 11/6 * (-12/11) = -2
10) 4/9 - 5/12 = 16/36 - 15/36 = 1/36
11) 1/36 + 0,75 = 1/36 + 3/4 = 1/36 + 27/36 = 28/36 = 7/9
12) 7/9 * 3/7 = 1/3
13) -2 : 1/3 = -2 * 3 = -6
14) -1/2 * (-6) = 3
ответ: 3
Похожие вопросы
Предмет: Физика,
автор: nasia9967
Предмет: Математика,
автор: polino4ka1166
Предмет: Алгебра,
автор: Аноним
Предмет: Математика,
автор: superdanik007Danik
Предмет: Математика,
автор: отличница343232