Предмет: Алгебра, автор: PolinkaMandarinka000

Решите системы уравнений, пожалуйста!

Приложения:

Ответы

Автор ответа: lakOR555
0

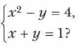
Ответ:

см фото

Объяснение:

Приложения:
Похожие вопросы
Предмет: География, автор: karimaburadi
Предмет: Алгебра, автор: ssmela350