Предмет: Алгебра,
автор: goust2001
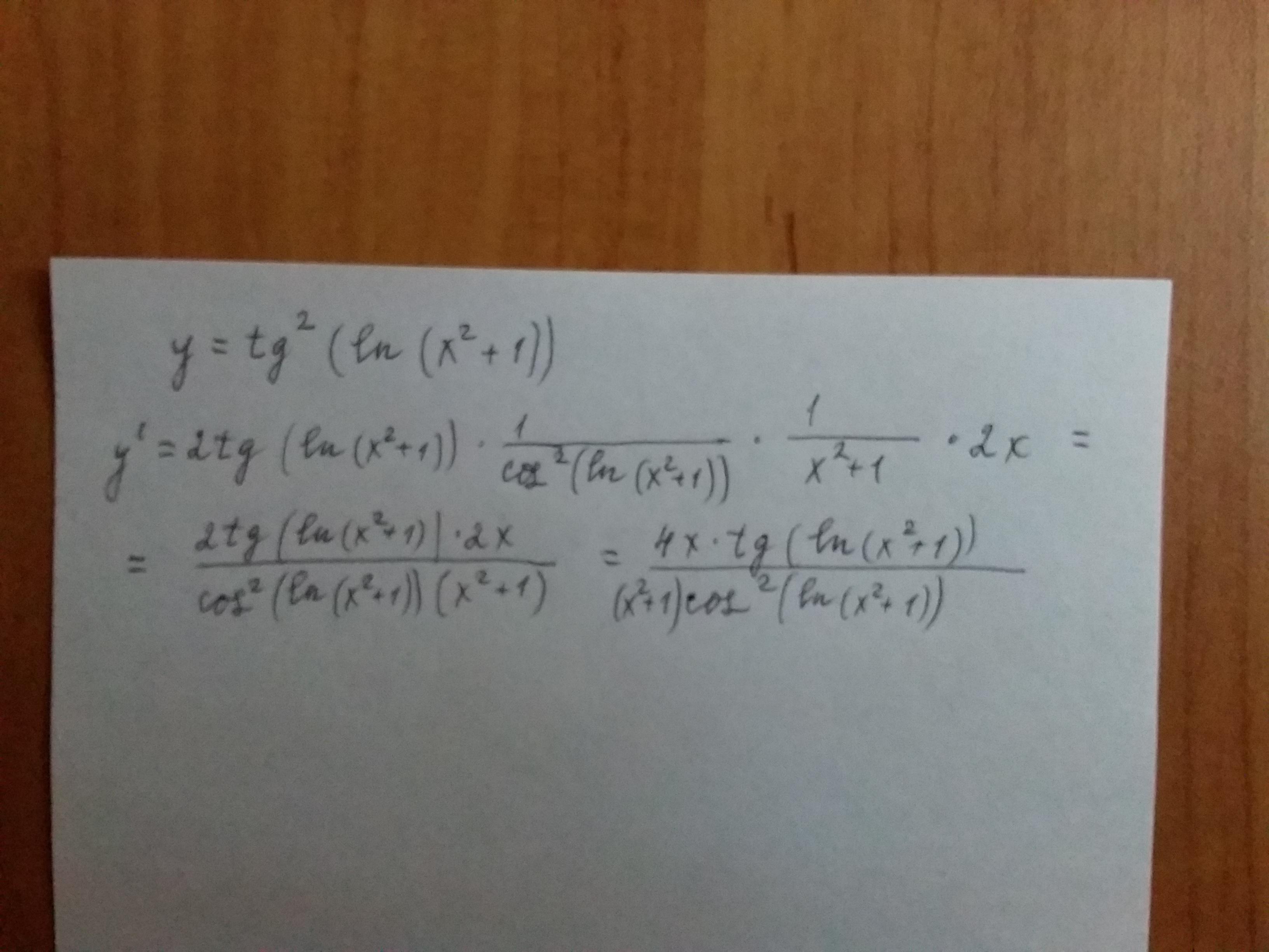
Найти производную функции y = tg^2(ln(x^2+1)
Ответы
Автор ответа:
0
.......................
Приложения:
Похожие вопросы
Предмет: Биология,
автор: darynaklinovska
Предмет: История,
автор: danilpetrochenko5
Предмет: Химия,
автор: varonikkkas
Предмет: Математика,
автор: Гулеке11
Предмет: Литература,
автор: timur130