Предмет: Алгебра,
автор: nastasyapanina2002
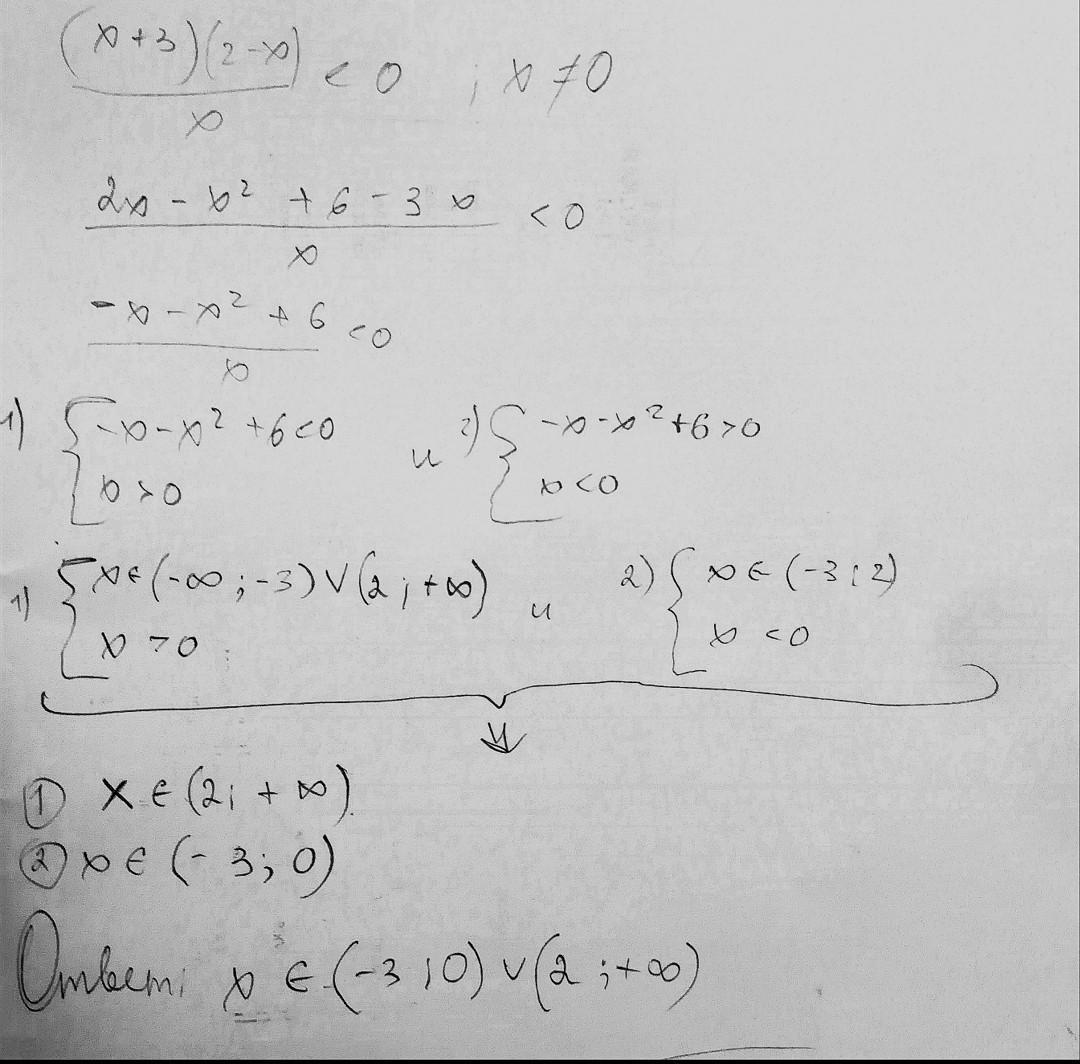
Решить уравнение (х+3)*(2-х)/х меньше 0
Ответы
Автор ответа:
0
Ответ:
Объяснение может форма записи не совсем точна
Приложения:
Автор ответа:
0
Ответ: (-3; 0)V(2; +бесконечность).
Само решение находится в прикреплённом файле. Вроде так. Удачи
Приложения:
Похожие вопросы
Предмет: Қазақ тiлi,
автор: Аноним
Предмет: Алгебра,
автор: rustamovarobiaaa0927
Предмет: Биология,
автор: tadadad
Предмет: География,
автор: alionanemolot
Предмет: Математика,
автор: nura39