Предмет: Математика,
автор: aloisiliya
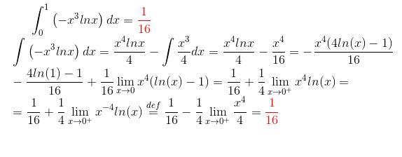
вычислить площадь фигуры ограниченной осью абсцисс графиком функции y=x^3lnx (как я понимаю с использованием интеграла и лимита)
Ответы
Автор ответа:
1
///////////////////////////////////
Приложения:
Похожие вопросы
Предмет: Математика,
автор: Аноним
Предмет: Французский язык,
автор: varvara201020102010i
Предмет: Алгебра,
автор: dezocsiribonukllein
Предмет: История,
автор: kamab05