Предмет: Математика,
автор: prostohellochik
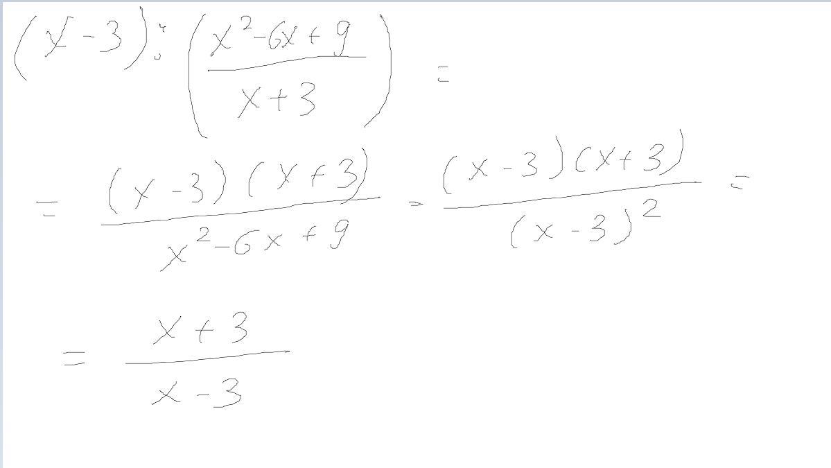
Упростите выражение (x-3):(x^2-6x+9/x+3)
Ответы
Автор ответа:
1
Решение на фото.
Стараюсь быть лучшим для вас!
Приложения:
prostohellochik:
спс
Похожие вопросы
Предмет: Геометрия,
автор: krotbot62
Предмет: Алгебра,
автор: nekromanser228lol
Предмет: Геометрия,
автор: krotbot62
Предмет: Литература,
автор: Happy631
Предмет: Математика,
автор: karnaukhovadiana