Предмет: Алгебра, автор: G12R

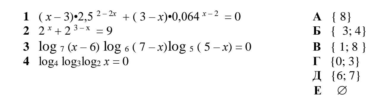
Установите соответствие между уравнениями (1 - 4) и их решениями (А - Е).

(Установіть відповідність між рівняннями ( 1 – 4 ) та їх розв'язками ( А – Е). )

Приложения:

Ответы

Автор ответа: studyprogrammer2019
0

1 - Б

2 - Г

3 - Е

4 - А


G12R: Большое спасибо! Пожалуйста, напишите еще и процесс решения, если можете, я бы хотела разобрать его.
Автор ответа: NNNLLL54
1

Ответ:   1-Б  ,  2 - Г  ,  3 - E  ,  4 - A .

Объяснение:

1)\; \; (x-3)\cdot 2,5^{2-2x}+(3-x)\cdot 0,064^{x-2}=0\\\\(x-3)\cdot \Big (\frac{5}{2}\Big )^{2-2x}-(x-3)\cdot \Big(\frac{2}{5}\Big)^{3(x-2)}=0\\\\(x-3)\cdot \Big (\frac{2}{5}\Big )^{2x-2}-(x-3)\cdot \Big (\frac{2}{5}\Big )^{3x-6}=0\\\\(x-3)\cdot \Big (\frac{2}{5}\Big )^{2x-2}\cdot \Big (1-(\frac{2}{5})^{x-4}\Big )=0\\\\a)\; \; x-3=0\; \; \to \; \; x=3\\\\b)\; \; \Big (\frac{2}{5}\Big )^{2x-2}=0\; \; \to \; \; x\in \varnothing ,\; tak\; kak\; \; \Big(\frac{2}{5}\Big )^{2x-2}>0\\\\c)\; \; 1-\Big (\frac{2}{5}\Big )^{x-4}=0\; \; \to \; \; \Big (\frac{2}{5}\Big )^0=\Big (\frac{2}{5}\Big )^{x-4}\; \; ,\; \; 0=x-4\; ,\; \; x=4

Ответ:   Б)  x\in \{3;4\}\; .  

2)\; \; 2^{x}+2^{3-x}=9\; \; \to \; \; 2^{x}+\frac{2^3}{2^{x}}-9=0\; ,\; \; \frac{2^{2x}-9\cdot 2^{x}+8}{2^{x}}=0\; ,\\\\t=2^{x}>0\; \; ,\; \; \frac{t^2-9t+8}{t}=0\; \; ,\; \; t^2-9t+8=0\; \; ,\; \; t_1=1\; ,\; \; t_2=8\; (teor.\; Vieta)\\\\2^{x}=1\; \; \to \; \; 2^{x}=2^0\; \; ,\; \; x=0\\\\2^{x}=8\; \; \to \; \; 2^{x}=2^3\; \; ,\; \; x=3

Ответ:  Г)  x\in \{0;3\}\; .

3)\; \; log_7(x-6)\cdot log_6(7-x)\cdot log_5(5-x)=0\; ,\\\\ODZ:\; \; \left\{\begin{array}{ccc}x-6>0\\7-x>0\\5-x>0\end{array}\right\; \; \; \left\{\begin{array}{ccc}x>6\\x<7\\x<5\end{array}\right\; \; ,\; \; 6<x<7\\\\log_7(x-6)=0\; \; \to \; \; x-6=1\; ,\; \; x=7\notin ODZ\\\\log_6(7-x)=0\; \; \to \; \; 7-x=1\; ,\; \; x=6\notin ODZ\\\\log_5(5-x)=0\; \; \to \; \; 5-x=1\; ,\; \; x=4\notin ODZ

Ответ:  Е)  x\in \varnothing .

 

4)\; \; log_4log_3log_2x=0\; \; ,\; \; \; \; ODZ:\; x>0\; ,\\\\log_4\Big (log_3log_2x\Big )=0\; \; \to \; \; log_3log_2x=1\; ,\; \; log_3\Big (log_2x\Big )=1\; \; \to \\\\log_2x=3\int\limits^a_b {x} \, dx \; \; \to \; \; x=2^3\; \; ,\; \; x=8

Ответ:  А)  x=8\; .  


G12R: Большое спасибо!!!
Похожие вопросы
Предмет: Английский язык, автор: dima97278