Предмет: Алгебра, автор: semen17189

Даю 20 баллов

Решите пожалуйста, мне нужно СРОЧНО​

Приложения:

Ответы

Автор ответа: solomiyatim
1

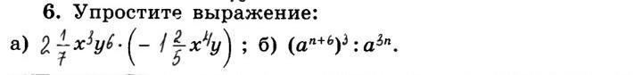
a)

 \frac{15}{7}  {x}^{3}  {y}^{6}  \times ( -  \frac{12}{5}  {x}^{4} y) =  -  \frac{36}{7}  {x}^{7}  {y}^{7}

б)

 \frac{ {a}^{3n + 18} }{ {a}^{3n} }  =  {a}^{18}

Если будут вопросы - обращайтесь:)

Отметьте, пожалуйста, как лучший ответ, если не сложно ❤️


semen17189: Ты бест!
semen17189: спасибо большое!
miron2077: просить отметить лучшим некрасиво!!!!!!!!!!!!!!!!!!!!!!!!!!!!1
Похожие вопросы